Paramedic
瀏覽次數: 3114066
  • 主頁
  • 輔助醫療
  • 萬年曆
  • 字詞
  • 宿舍
  • 薪酬
  • 用膳
  • 電話簿
  • 聯絡我
  • 關於我

Respiratory 

呼吸

Cardiac Chest Pain

心源性胸部痛

Hypovolemia

低血容積

Glycemia

血糖症

Glucagon

胰高血糖素

Narcotic Overdose 

麻醉藥過量

Activated Charcoal

活性炭

Convulsion

抽搐

Basic Anaphylaxis

過敏反應

Tramadol

曲馬多

TXA (Tranexamic Acid)

傳明酸

Suspected Excited Delirium Syndrome

疑似興奮性譫妄綜合症

Adrenaline

腎上腺素

Amiodarone

胺碘酮

Penthrox

甲氧氟烷(綠哨子)

AED (Automated External Defibrillator)

自動心臟去顫器

Taking Over a Cardiac Arrest Patient Connected with AED

接觸已使用AED的病人

ACCM (Automated Chest Compression Machine)

自動胸外按壓機

Laryngeal Tube (LTS-D)

喉管

LMA - Supreme

喉罩

Combitube

食道氣管組合管

Supplemental O2 Therapy

氧氣治療

LVAD (Left Ventricular Assist Device)

左心室輔助器

Spinal Management

脊柱處理

Trauma Diversion

創傷分流

12-Lead ECG

十二導聯心電圖

Hypothermia

低溫症

Burn Kit

燒傷敷料

Haemostatic Arterial Tourniquet (HAT)

止血帶

Haemostatic Dressing (HD)

止血敷料

Trauma Pelvic Orthotic Devices 

T-POD

Sager Traction Splint

牽引夾板

Pre-hospital Stroke Assessment and Diversion

院前中風通報及分流

Disinfection / Infectious Diseases

消毒 / 傳染病

Supporting Certificate

不須收取,須簽FS 319

去指定的醫院管理局醫院或私家醫院

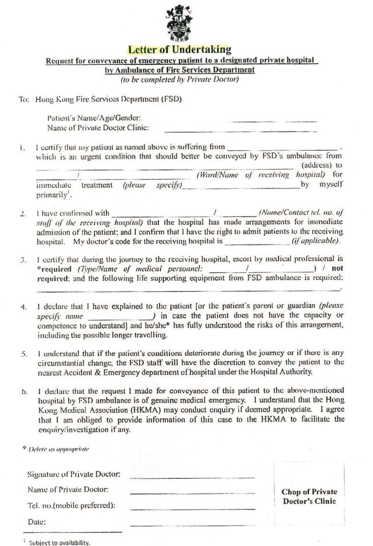
Letter of Undertaking

須收取,不須簽FS 319

去指定的私家醫院

T-Codes

T-Codes代碼

Tunnel Information

隧道資訊

Report Times

申報事項及時限

Radio Communication

無線電通訊

Radio Manual

無線電操作

Integrated Information

整合資料

Designed by: (幫到大家就好) 2022-2025